Aula 03 - OS LIMITES DO MEU MUNDO SÃO OS LIMITES DA MINHA LINGUAGEM parte 2
(Texto para copiar tudo e responder corretamente no caderno)
Autor: Fabio Goulart
CONTINUAÇÃO... o professor de filosofia continuou me explicando:
- Pois é Paula, mas mesmo estudando muito e aprendendo novas línguas ainda nos vão faltar palavras para explicar o que pensamos e sentimos. Wittgenstein nos ensinou que nossos pensamentos e sentimentos são muito maiores do que conseguimos dizer, por isso essa sensação ne nos “faltarem palavras” até que é bom.
- Que legal sor! O problema que nem consigo falar o nome deste cara, Witttttt... não consigo o resto kkkkk e o que mais ele disse? - Perguntei encantada ao professor:
- Quanto a não conseguir falar o nome Wittgensrein é só um problema de pronuncia, e o Alemão e o Português são duas línguas muito diferentes. Tente pronunciar assim: VITI – GUENS – TAIN J Acho que fica mais fácil hehehe. Quanto aos seus ensinamentos, ele ensinou que é função da filosofia criar palavras quando essas nos faltam! São o que chamamos de conceitos. Conceitos são palavras cheias de sentido e significados, ou seja, palavras que explicam coisas, ideias, sentimentos etc. Filósofas e Filósofos de todo mundo se esforçam para criar novas palavras para que possamos entender melhor o universo que existe fora de nós e o que existe dentro de nós. – Explicou com dedicação o barbudo professor.
- Que legal sor! E o que mais um conceito pode nos ajudar? – Perguntei desconfiada?
- Os conceitos nos ajudam a inventar novas coisas. Quase tudo que é novo primeiro foi uma ideia sem nome, depois virou um conceito e por último uma coisa. Pense por exemplo em “smartphone”, é uma palavras que vem de outra língua, do inglês, que significa “telefone inteligente”, que são esses aparelhos que baixam aplicativos e entram na internet. Há 10 anos atrás essa palavras nem existia. Primeiro venho a ideia de ter um telefone celular que entrasse na internet. Depois se criou o conceito “smartphone”. Depois se desenvolveu a tecnologia pra isso. Por fim surgiram estes amados aparelhos que vocês estão sempre mexendo e incomodando nas aulas. – Brincou o professor.
- Kkkkkk é verdade! Desculpa! E eu posso criar palavras também? – Perguntei.
- Caro que sim! Com filosofia tudo pode! – Respondeu animado o professor.
Exercícios para compreensão e fixação do texto. Responda conforme o texto de forma completa:
1) Qual importante função da filosofia ensinada por Wittgenstein?
2) O que são conceitos?
3) Para que os filósofos criam os conceitos?
4) No que mais os conceitos nos ajudam? Explique isso tal como o professor no texto.
Exercícios para Reflexão. Responda com suas palavras (mínimo 3 linhas):
5) Escreva e explique o significado de uma palavra que você aprendeu em no máximo um ano. Pode ser uma palavra de outra língua.
6) Vamos brincar de ser filósofo e criar uma palavra! Invente uma palavra e seu significado. Pode ser para explicar uma sensação, sentimento ou coisa que ainda não existe. #DICA o jeito mais fácil de criar uma nova palavra é juntando o início de uma palavra que já existe com o final de outra palavra diferente.
** HISTÓRIA - Profª Ana
Olá, queridos! ♥♥
Lembram que fizemos uma
pré-leitura onde perguntava sobre o que vocês achavam o que teria sido a
Revolução Industrial? Antes eu perguntava se lembravam o significado da palavra
“revolução”. Lembram o que responderam?
Pois saibam que muitos de vocês
foram muito bem na atividade. Responderam que revolução é um movimento que
transforma profundamente uma sociedade. Fiquei muito orgulhosa de vocês!
Pois agora peço que assistam um
vídeo sobre a Revolução Industrial. Escolhi o vídeo do Prof. Diego, porque eu o
acho muito preparado e muito legal! No link abaixo:
Assistam e façam anotações no caderno com as informações que vocês
entendam que sejam as mais importantes. Ah, vocês sabem o significado da
palavra proletariado? Descubram!
Aproveitem o vídeo porque na
próxima aula teremos um texto para copiar no caderno. Prometo que será um
pequeno texto!J
Bom trabalho!
Prof. Ana 😘
** MATEMÁTICA - Profº Renato
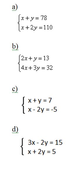
⇒Resolva, em seu caderno, pelo método que achar mais conveniente:
⇒Resolva, em seu caderno, pelo método que achar mais conveniente:
⇉ Desafio!
Uma prova de múltipla escolha com 60
questões foi corrigida da seguinte forma: o aluno ganhava 5 pontos por questão
que acertava e perdia 1 ponto por questão que errava ou deixava em branco. Se
um aluno totalizou 210 pontos, qual o número de questões que ele acertou?
** ESPANHOL - Profª Adriana M.
** BIBLIOTECA - Profª Carla
Malandro, sábio e sedutor, Pedro Malazartes é um personagem dos contos populares brasileiros!
Oi pessoal!
** ESPANHOL - Profª Adriana M.
Malandro, sábio e sedutor, Pedro Malazartes é um personagem dos contos populares brasileiros!
Na Biblioteca temos diversos destes contos! Vamos conhecer um pouco mais deste personagem!
Hoje vamos escutar "A sopa de Pedras".Logo em seguida podem escrever a história usando as suas próprias palavras!
Abraços da Profe Carla
** ARTES - Profª Mônica
** EDUCAÇÃO FÍSICA - Profª Cláudia
Oi pessoal!
Muitas saudades de todos vocês! Saudade das risadas, gritarias, correrias e abraços apertados, não é mesmo? E aquele “papo” amigo? Mas, ainda é muito importante o nosso “isolamento social” para evitar que o vírus “Covid 19” se espalhe rapidamente entre nós!
Portanto, espero sinceramente que estejam bem firmes e saudáveis. Volto a repetir que a Atividade Física frequente e moderada é fundamental neste momento.
A sequência de Alongamento e exercícios deve ser executada todos os dias!!!
Lembrem-se de tomar ÁGUA!
Para esta semana, proponho que assistam os vídeos que selecionei sobre a cultura indígena.
Depois, convido a pensarem um pouco sobre as nossas “heranças” indígenas e como se relacionam com o mundo atual. Peço que escutem nas mídias, notícias sobre indígenas brasileiros e a situação frente a “pandemia do Corona vírus”. Voltaremos a refletir sobre a cultura indígena na próxima semana.
Depois, convido a pensarem um pouco sobre as nossas “heranças” indígenas e como se relacionam com o mundo atual. Peço que escutem nas mídias, notícias sobre indígenas brasileiros e a situação frente a “pandemia do Corona vírus”. Voltaremos a refletir sobre a cultura indígena na próxima semana.
Para esta semana, vamos acrescentar na nossa sequência, a cópia do exercício do Avião e de Respiração para “acalmar a ansiedade”, ok?
COPIE:
1) AVIÃO - Equilibrando-se numa perna só, vai inclinando o tronco para frente com os braços abertos lateralmente e elevando a perna que está no ar para trás. Repita com as 2 pernas, contando até 10 de cada lado.
2) RESPIRAÇÃO - após o exercício de respiração no final da sequência, vamos continuar respirando tranquilamente e deitar no chão, com as costas bem encostadas no chão e as pernas flexionadas (os pés bem no chão). Coloque uma das mãos sobre a barriga e encha de ar sentindo a mão subir.
- Inspirar, contando até 4 mentalmente
- Segurar o ar, contando até 4 mentalmente
- Expirar, contando até 4 mentalmente
- Esperar, contando até 4 mentalmente
- Repetir o processo completo 8 vezes, buscando o máximo de concentração em si mesmo e relaxando com tranquilidade.
UM ABRAÇO, BOA SEMANA E BOAS PRÁTICAS!!!
** PORTUGUÊS - Profª Silvana
ATIVIDADE 1:
⇨Observe atentamente na imagem as figuras, as cores, as frases, enfim, todos os detalhes.
⇒Após a observação da imagem, responda às questões abaixo copiando o enunciado no caderno:
ATIVIDADE 2: Leia e copie o poema "O Homem; As viagens" de Carlos Drummond de Andrade no caderno.
O Homem; As Viagens
Carlos Drummond de Andrade
O homem, bicho da terra tão pequeno
Chateia-se na terra
Lugar de muita miséria e pouca diversão,
Faz um foguete, uma cápsula, um módulo
Toca para a lua
Desce cauteloso na lua
Pisa na lua
Planta bandeirola na lua
Experimenta a lua
Coloniza a lua
Civiliza a lua
Humaniza a lua.
Lua humanizada: tão igual à terra.
O homem chateia-se na lua.
Vamos para marte - ordena a suas máquinas.
Elas obedecem, o homem desce em marte
Pisa em marte
Experimenta
Coloniza
Civiliza
Humaniza marte com engenho e arte.
Marte humanizado, que lugar quadrado.
Vamos a outra parte?
Claro - diz o engenho
Sofisticado e dócil.
Vamos a vênus.
O homem põe o pé em vênus,
Vê o visto - é isto?
Idem
Idem
Idem.
O homem funde a cuca se não for a júpiter
Proclamar justiça junto com injustiça
Repetir a fossa
Repetir o inquieto
Repetitório.
Outros planetas restam para outras colônias.
O espaço todo vira terra-a-terra.
O homem chega ao sol ou dá uma volta
Só para tever?
Não-vê que ele inventa
Roupa insiderável de viver no sol.
Põe o pé e:
Mas que chato é o sol, falso touro
Espanhol domado.
Restam outros sistemas fora
Do solar a col-
Onizar.
Ao acabarem todos
Só resta ao homem
(estará equipado?)
A dificílima dangerosíssima viagem
De si a si mesmo:
Pôr o pé no chão
Do seu coração
Experimentar
Colonizar
Civilizar
Humanizar
O homem
Descobrindo em suas próprias inexploradas entranhas
A perene, insuspeitada alegria
De con-viver.
** GEOGRAFIA - Profº Gilberto
ATIVIDADE: Assista ao vídeo abaixo e escreva um pequeno texto abordando
o conceito de Lugar e a importância da regionalização.
** CIÊNCIAS - Profª Andréa
Nas semanas anteriores estudamos as mudanças do corpo feminino e masculino. Para darmos continuidade a esse conteúdo, na atividade desta semana gostaria que vocês assistissem o vídeo que trata desse assunto.

